本篇博客的主要内容有:
- K-means算法
- python代码实现
- 任意选择K(类别)聚类
- 选取最佳的k,画出聚类后的图像分布
- 计算准则函数J,画出J的变化图像
- 完整python代码
试用K—均值法对如下模式分布进行聚类分析。编程实现,编程语言不限。
{x1(0, 0), x2(3,8), x3(2,2), x4(1,1),
x5(5,3), x6(4,8), x7(6,3), x8(5,4),
x9(6,4), x10(7,5)}
K-Means算法
K均值是一种动态巨累法
动态聚类法先粗略地进行预分类,然后再逐步调整,直到把类分得比较合理为止,这种方法计算量较小、使用内存量小、方法简单,适用于大样本的聚类分析。
K均值算法的思想是首先任意选取K个聚类中心,按最小距离原则将各模式分配到K类的某一类,再不断计算聚类中心和调整各模式的类别,最终使各模式到其判属类别中心的距离平方之和最小。
具体步骤:
- 任意选K个聚类中心(可以随机,或者直接选样本的前K个,后面会动态调整)
- 遍历所有样本,将每个样本按照最小距离原则分到K类中的一类
- 更新聚类中心,具体为将每个类别的聚类中心改为该类中所有样本的均值
- 一直重复上述过程,直到聚类中心保持不变。
这里有个问题是,为什么聚类中心为什么要选择样本的均值,在下面的准则函数中将会给出推导过程。
所以K均值算法的实现最重要的就是计算距离和均值。
准则函数定义
对于第j个类别$S_{j}$,有$N_{j}$个样本,聚类中心为$Z_{j}$
$J_{j} = \sum_{i=1}^{N_{j}}\parallel X_{i} - Z{j} \parallel ^{2}$
(这里应该是二范数的平方,markdown公式和博客代码不是很兼容的原因导致只是显示了一条竖线)
对于所有K个类别的准则函数就是把每个类别的求和就行
由上面的准则函数,可以得到,对于某一个聚类$j$,应有:
$\frac{\partial J_{j}}{\partial Z_{j}} = 0$
那么有:
$\frac{\partial \sum_{i=1}^{N_{j}}\parallel X_{i} - Z{j} \parallel ^{2}}{\partial Z_{j}} = \frac{\partial \sum_{i=1}^{N_{j}}(X_{i}-Z_{j})^{T}(X_{i}-Z_{j}) }{\partial Z_{j}} = 0$
可以解得:
$Z_{j}= \frac{1}{N_{j}}\sum_{i=1}^{N_{j}}X_{i},X_{i} \in S_{j}$
所以 为了使得准则函数最小,$S_{j}$类的聚类中心应选为该类样本的均值
下面是作业的python实现。
K-Means的python实现
首先,K均值算法的K我们是没有办法事先预知的,所以,我先画出了图像的分布情况。
下面是原始数据,将其保存在txt文件中:1
2
3
4
5
6
7
8
9
100,0
3,8
2,2
1,1
5,3
4,8
6,3
5,4
6,4
7,5先将其读入,并且画出图像
1
2path = 'data.txt'
data = pd.read_csv(path, header=None, names=['x1', 'x2'])
计算距离
1
2def calDist(X,center):
return np.linalg.norm(X - center,2,1)这里直接返回了二范数的距离(平方再开根号)
K-means算法的实现
1
2
3
4
5
6
7
8
9
10
11
12
13
14
15
16
17
18
19
20
21def kmeans(X,k):
#@ return centers,clusters[每个聚类中心,每个样本所属的类别]
centers = X[:k,:]
newCenters = np.zeros(centers.shape)
clusters = np.zeros(len(X))
while True: #当聚类中心不再变化时算法停止
#计算每个点到所有中心的距离
for i in range(len(X)):
d = calDist(X[i], centers)
cluster = np.argmin(d)
clusters[i] = cluster #第i个样本的类别设定为到所有聚类中心最近的那个
#遍历k个中心,分别找出以该聚类中心的所有点并且求均值作为新的聚类中心
for i in range(k):
points = [X[j] for j in range(len(X)) if clusters[j] == i]
newCenters[i] = np.mean(points, axis=0)
if (centers == newCenters).all():#当聚类中心不再变化时,终止循环
break
else:
centers = newCenters
return centers,clusters
K = 3的代码分析
由于我们之前已经画出了图像,可以很自然的得到他应该分为3个类别,使用K-means算法,并画出图像1
2
3
4
5
6
7
8
9
10
11
12centers,clusters = kmeans(X,k)
colors = ['r', 'g', 'b']
fig, ax = plt.subplots()
for i in range(k):
points = np.array([X[j] for j in range(len(X)) if clusters[j] == i])
#上面是3*1*2的array,先用flatten变为1*len(X)维的,再reshape
points = points.flatten()
points = np.reshape(points,(int(len(points)/2),2))
print(points[:,0],points[:,1])
ax.scatter(points[:,0],points[:,1], s=20, c=colors[i])
ax.scatter(newCenters[:, 0], newCenters[:, 1], marker='*', s=30, c='y')
plt.show()
下面是K-means算法后的结果,其中五角星是聚类中心

由图可知,分成了三类,每个聚类中心分别为1
2
3[[1. 1. ]
[3.5 8. ]
[5.8 3.8]]
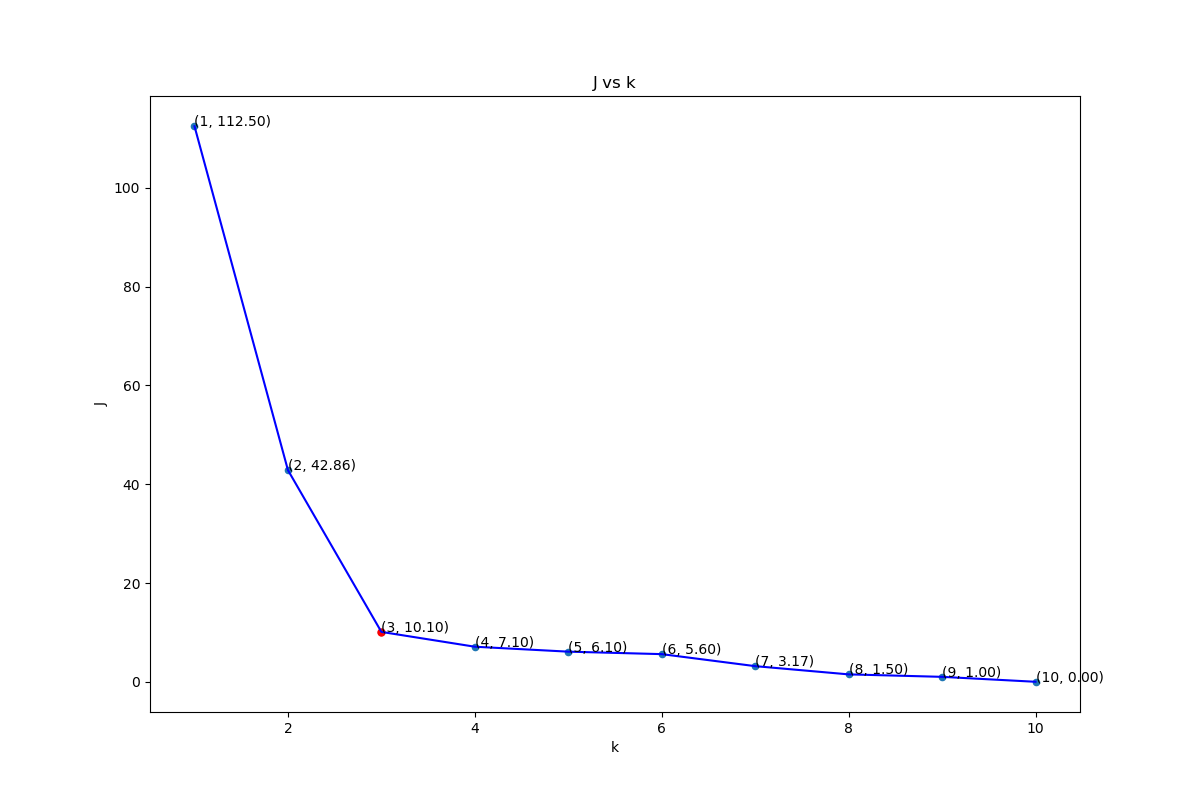
取K不同值时J的变化
1 |
|
下面是取不同k值的j的变化.这里的J是距离平方的和

一般来说,如果样本集的合理聚类数为K类,当类别数从1增加到K时准则函数迅速减小,当类别数超过K时,准则函数虽然继续减少但会呈现平缓趋势。 所以K一般会选择在拐点
上图中K=3的时候是比较合适的点(在K>3之后下降缓慢)。
K均值的结果受到所选聚类中心的个数和其初始位置的影响较大,实际应用中需要试探不同的K值和选择不同的聚类中心起始值。(这里我直接取了前K个样本)
完整代码
1 | import numpy as np |
References
- K-Means算法的Python实现
- 模式识别课的PPT